Fig. 4
From: Modeling land use change and forest carbon stock changes in temperate forests in the United States

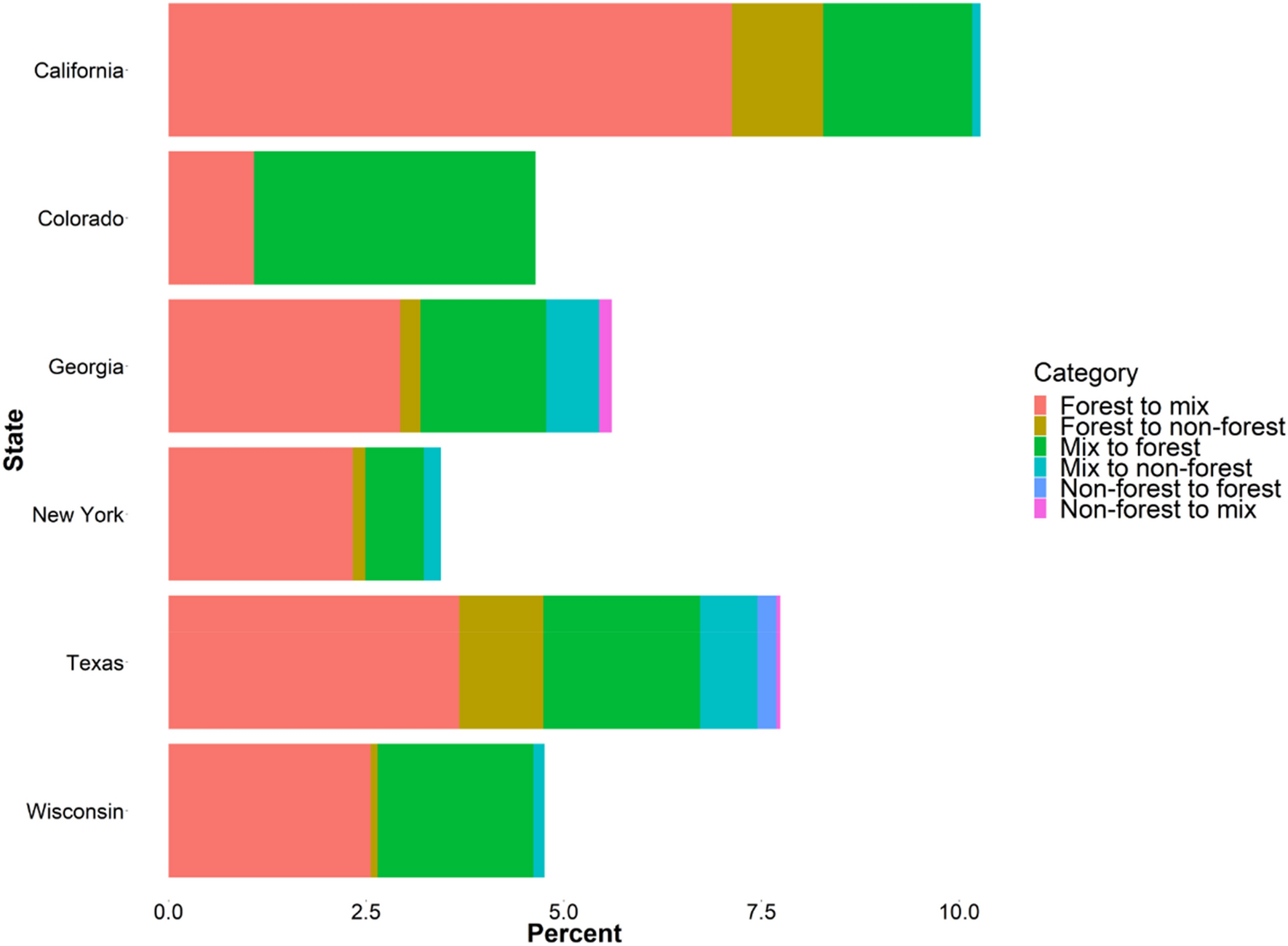
Percent of FIA plots across six US states that have transitioned to and from forested conditions in the study area between 2000 and 2017
From: Modeling land use change and forest carbon stock changes in temperate forests in the United States

Percent of FIA plots across six US states that have transitioned to and from forested conditions in the study area between 2000 and 2017